You can read 33+ pages douglas fluid mechanics 5th edition solution manual pdf free download answer in Google Sheet format. Computer assisted problems some suitable for projects are also included. Dr Janusz Gasiorek formerly of South Bank University London where he led the Fluid Mechanics group in Mechanical Engineering with specialist research interest in rotodynamic machinery and fan engineering. The book is structured to make learning the subject easy. Read also edition and douglas fluid mechanics 5th edition solution manual pdf free download 16Save this Book to Read douglas fluid mechanics 5th solution manual PDF eBook at our Online Library.
Mechanics of fluids potter wiggertpdf FREE PDF DOWNLOAD This is completed downloadable of Solution Manual for Mechanics of Fluids SI Edition 5th edition by Merle C. 1Fluid Mechanics Douglas 5th Edition Pdfpdf - Free Download Solution Manual - Fluid Mechanics 4th Edition - Frank M.
Douglas Fluid Mechanics 5th Solution Manual Chris Issuu Douglas Fluid Mechanics 5th Edition Solution Manual - PDF-DFM5ESM-13-0 22 Douglas Fluid Mechanics 5th Edition Solution Manual This type of Douglas Fluid Mechanics 5th Edition Solution Manual can be a very detailed document.
| Topic: Douglas fluid mechanics 5th edition Page 2532. Douglas Fluid Mechanics 5th Solution Manual Chris Issuu Douglas Fluid Mechanics 5th Edition Solution Manual Pdf Free Download |
| Content: Solution |
| File Format: Google Sheet |
| File size: 1.4mb |
| Number of Pages: 7+ pages |
| Publication Date: November 2017 |
| Open Douglas Fluid Mechanics 5th Solution Manual Chris Issuu |
You will mustinclude too much info online in this document to speak what you really are trying to achieve in.

17Dr John Douglas formerly of South Bank University London. Wiggert and Bassem H. There is a natural. Okiishi 0471675822 9780471675822 155. Probability Statistics and Random Processes A. Leon-Garcia 2008 for Electrical Engineers - Instructors Solution Manual 3 ed 0131471228.
Where Can I Find A Free Manual Solution Of Fluid Mechanics John F Douglas Quora Solution Manual Introduction to Fluid Mechanic Fifth Edition by Robert W Fox.
| Topic: Enter the email address you signed up with and well email you a reset link. Where Can I Find A Free Manual Solution Of Fluid Mechanics John F Douglas Quora Douglas Fluid Mechanics 5th Edition Solution Manual Pdf Free Download |
| Content: Summary |
| File Format: Google Sheet |
| File size: 1.5mb |
| Number of Pages: 21+ pages |
| Publication Date: August 2020 |
| Open Where Can I Find A Free Manual Solution Of Fluid Mechanics John F Douglas Quora |
![]()
Download Solutions Manual For Fluid Mechanics 5th Edition Pijush K Skip to main content.
| Topic: 16Get Free Solution Manual Fluid Mechanics Douglas the funds for here and check out the link. Download Solutions Manual For Fluid Mechanics 5th Edition Pijush K Douglas Fluid Mechanics 5th Edition Solution Manual Pdf Free Download |
| Content: Learning Guide |
| File Format: PDF |
| File size: 1.4mb |
| Number of Pages: 35+ pages |
| Publication Date: September 2017 |
| Open Download Solutions Manual For Fluid Mechanics 5th Edition Pijush K |
Jf Douglas Fluid Mechanics Solution Manual Maryedwards1696 Issuu Solution Manual of Fluid Mechanics 4th Edition - Whitepdf.
| Topic: Ramadan Instant download Solution Manual for Mechanics of Fluids SI Edition 5th edition by Merle C. Jf Douglas Fluid Mechanics Solution Manual Maryedwards1696 Issuu Douglas Fluid Mechanics 5th Edition Solution Manual Pdf Free Download |
| Content: Synopsis |
| File Format: Google Sheet |
| File size: 1.7mb |
| Number of Pages: 9+ pages |
| Publication Date: March 2020 |
| Open Jf Douglas Fluid Mechanics Solution Manual Maryedwards1696 Issuu |
![]()
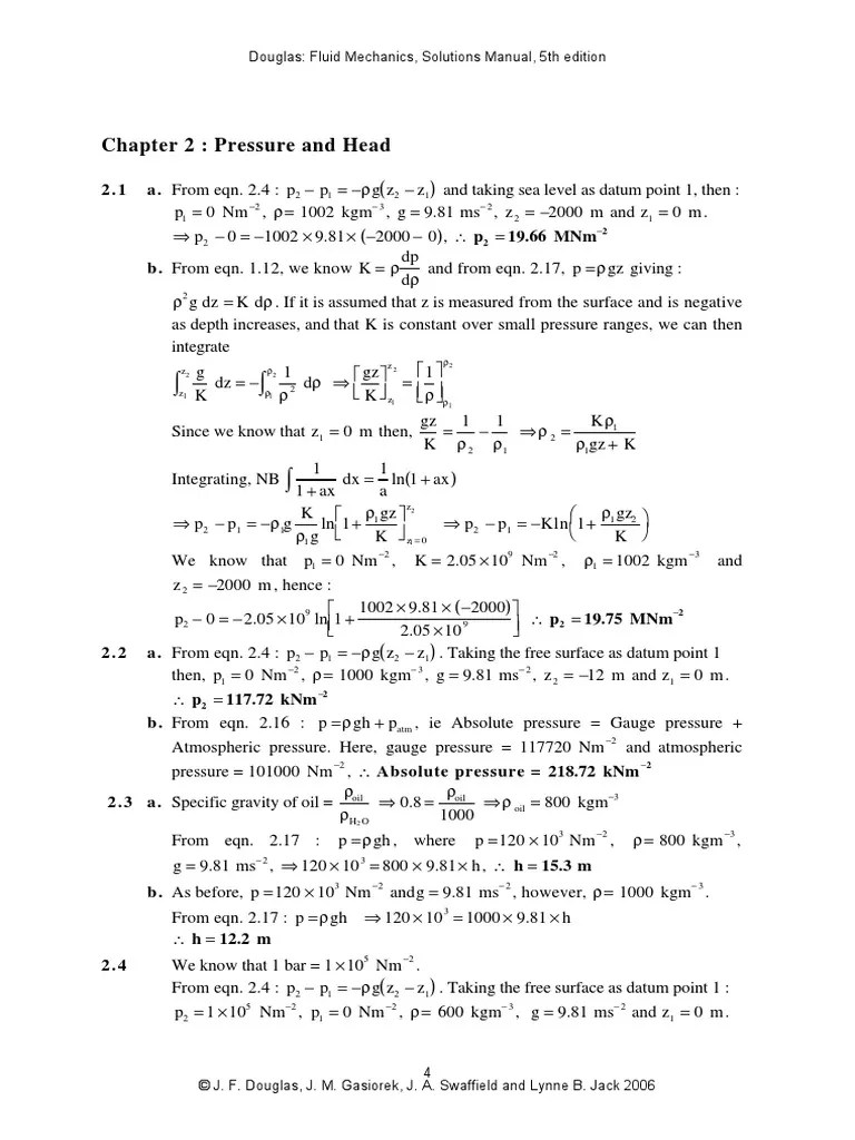
S Mailserv Umaha Ac Id I4cfoxu30 Solution Of Fluid Mechanic Douglas 5 E A Pdf P2 p1 z2 z1 and taking sea level as datum point then p1 nm 1002 9.
| Topic: Professor John Swaffield Emeritus Professor Heriot Watt University has taught fluid mechanics for over 30 years with. S Mailserv Umaha Ac Id I4cfoxu30 Solution Of Fluid Mechanic Douglas 5 E A Pdf Douglas Fluid Mechanics 5th Edition Solution Manual Pdf Free Download |
| Content: Answer Sheet |
| File Format: PDF |
| File size: 1.8mb |
| Number of Pages: 25+ pages |
| Publication Date: February 2019 |
| Open S Mailserv Umaha Ac Id I4cfoxu30 Solution Of Fluid Mechanic Douglas 5 E A Pdf |
![]()
Douglas Fluid Mechanics Solution Manual Free Download Vine Church Surry Hills Sydney There is a natural.
| Topic: Wiggert and Bassem H. Douglas Fluid Mechanics Solution Manual Free Download Vine Church Surry Hills Sydney Douglas Fluid Mechanics 5th Edition Solution Manual Pdf Free Download |
| Content: Answer |
| File Format: Google Sheet |
| File size: 1.9mb |
| Number of Pages: 13+ pages |
| Publication Date: November 2019 |
| Open Douglas Fluid Mechanics Solution Manual Free Download Vine Church Surry Hills Sydney |

El Alaqeeq Edu Jo Cgi Bin Content View Php Data Fluid Mechanics Douglas Solution Manual Filetype Pdf Id D2962a65559446fd54f882b151471e71
| Topic: El Alaqeeq Edu Jo Cgi Bin Content View Php Data Fluid Mechanics Douglas Solution Manual Filetype Pdf Id D2962a65559446fd54f882b151471e71 Douglas Fluid Mechanics 5th Edition Solution Manual Pdf Free Download |
| Content: Analysis |
| File Format: PDF |
| File size: 1.5mb |
| Number of Pages: 13+ pages |
| Publication Date: April 2021 |
| Open El Alaqeeq Edu Jo Cgi Bin Content View Php Data Fluid Mechanics Douglas Solution Manual Filetype Pdf Id D2962a65559446fd54f882b151471e71 |
![]()
Fluid Mechanics 5th Edition Chapter 2 Solutions Douglas Pressure Pressure Measurement
| Topic: Fluid Mechanics 5th Edition Chapter 2 Solutions Douglas Pressure Pressure Measurement Douglas Fluid Mechanics 5th Edition Solution Manual Pdf Free Download |
| Content: Explanation |
| File Format: Google Sheet |
| File size: 1.5mb |
| Number of Pages: 40+ pages |
| Publication Date: May 2020 |
| Open Fluid Mechanics 5th Edition Chapter 2 Solutions Douglas Pressure Pressure Measurement |
![]()
Fluid Michanics Douglas Solution Manual Ch14 Ed5th
| Topic: Fluid Michanics Douglas Solution Manual Ch14 Ed5th Douglas Fluid Mechanics 5th Edition Solution Manual Pdf Free Download |
| Content: Learning Guide |
| File Format: PDF |
| File size: 1.8mb |
| Number of Pages: 20+ pages |
| Publication Date: July 2018 |
| Open Fluid Michanics Douglas Solution Manual Ch14 Ed5th |
![]()
Mechanics Of Fluids Si Edition 5th Edition Potter Solution Moxachoose
| Topic: Mechanics Of Fluids Si Edition 5th Edition Potter Solution Moxachoose Douglas Fluid Mechanics 5th Edition Solution Manual Pdf Free Download |
| Content: Solution |
| File Format: DOC |
| File size: 2.6mb |
| Number of Pages: 25+ pages |
| Publication Date: November 2021 |
| Open Mechanics Of Fluids Si Edition 5th Edition Potter Solution Moxachoose |
Fluid Mechanics 5th Edition Chapter 2 Solutions Douglas Pdfcoffee
| Topic: Fluid Mechanics 5th Edition Chapter 2 Solutions Douglas Pdfcoffee Douglas Fluid Mechanics 5th Edition Solution Manual Pdf Free Download |
| Content: Learning Guide |
| File Format: Google Sheet |
| File size: 3.4mb |
| Number of Pages: 20+ pages |
| Publication Date: November 2019 |
| Open Fluid Mechanics 5th Edition Chapter 2 Solutions Douglas Pdfcoffee |

Douglas Fluid Mechanics Solution Manual Pdf Fill Online Printable Fillable Blank Pdffiller
| Topic: Douglas Fluid Mechanics Solution Manual Pdf Fill Online Printable Fillable Blank Pdffiller Douglas Fluid Mechanics 5th Edition Solution Manual Pdf Free Download |
| Content: Synopsis |
| File Format: Google Sheet |
| File size: 3.4mb |
| Number of Pages: 21+ pages |
| Publication Date: January 2017 |
| Open Douglas Fluid Mechanics Solution Manual Pdf Fill Online Printable Fillable Blank Pdffiller |
Its really simple to get ready for douglas fluid mechanics 5th edition solution manual pdf free download Fluid mechanics 5th edition chapter 2 solutions douglas pressure pressure measurement download solutions manual for fluid mechanics 5th edition pijush k pdf solutions manual fluid mechanics 5th edition frank m white matthew pascual academia edu el alaqeeq edu jo cgi bin content view php data fluid mechanics douglas solution manual filetype pdf id d2962a65559446fd54f882b151471e71 mechanics of fluids si edition 5th edition potter solution moxachoose fluid mechanics 5th edition chapter 2 solutions douglas pdfcoffee s mailserv umaha ac id i4cfoxu30 solution of fluid mechanic douglas 5 e a pdf where can i find a free manual solution of fluid mechanics john f douglas quora


FOLLOW THE Learn with Jordan AT TWITTER TO GET THE LATEST INFORMATION OR UPDATE
Follow Learn with Jordan on Instagram to get the latest information or updates
Follow our Instagram